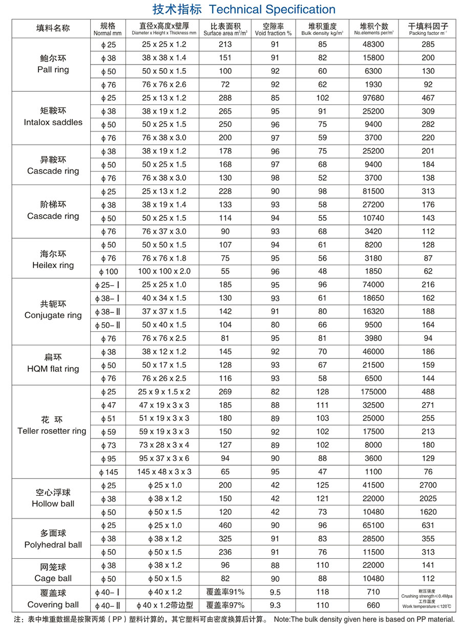
塑料散堆填料

塑料填料材质包括:聚乙烯(PE)、 聚丙烯(PP)、 增强聚丙烯(RPP)、聚氧乙烯PVC)、氧化聚氯乙烯(CPVC),聚煽氟乙烯(PVDF)、聚氟乙烯(ETFE)、聚四氟乙烯(PTFE)等。它附腐蚀性能好、空隙大、通量大,阻力小,能耗低、操作费用低、重量轻,易装卸、可重复使用。特别适用于石油。化工。氧碱,煤气,环保等行业的中低温(60-1 50C)提馏、吸收及洗涤塔中。
塑料散堆填料有:鲍尔环、矩鞍环、异鞍环。阶梯环,海尔环、共轮环、扁环、花环、空心浮球、多面球、网笼球和覆盖球等。


塑料散堆填料有:鲍尔环、矩鞍环、异鞍环。阶梯环,海尔环、共轮环、扁环、花环、空心浮球、多面球、网笼球和覆盖球等。





